
第一作者:张轩喻金兰
通讯作者:朱咏华
作者单位:91成人网
;湖南省林业科学院
图片摘要

成果简介
近日,环境领域著名学术期刊Science of the Total Environment在线发表了91成人网
和湖南省林业科学院的最新合作研究成果“Enhanced Cd phytostabilization and rhizosphere bacterial diversity ofRobinia pseudoacaciaL. by endophyteEnterobactersp. YG-14 combined with sludge biochar”。研究构建了一种新型的植物内生菌-污泥基生物炭-木本植物刺槐联合修复技术,用于土壤重金属镉污染的植物固定化,土壤镉浓度和有效态可降低61.75%和69.01%,并表现出显著的植物促生效果,土壤改良和微生态改善明显,具有广阔的应用前景。
引言
重金属镉(Cd)被联合国环境规划署列为全球性危害化学物质之首,在我国的重金属污染土壤问题中,镉污染也是危害性最大的。植物-微生物联合修复因其成本低廉、绿色环保,且适用于大面积原位修复,在矿山重金属污染土壤修复中极具应用前景。刺槐(Robinia peudoacaciaL.)属的豆科植物因具有耐瘠薄、高污染抗性等优势成为公认的矿区造林先锋树种。现有研究表明植物促生菌可以提高刺槐的重金属抗性水平和富集量,然而,刺槐植物富集Cd的水平相较其富集铅(Pb)、锌(Zn)、铜(Cu)等重金属的水平较弱,直接制约了刺槐对矿山废弃地的Cd固定化效果。目前,利用微生物与生物炭联合修复重金属的研究很多,联合修复作用于木本植物进行土壤重金属固定化的研究相对较少,且该复合修复方法对土壤中Cd的植物固定化的影响机制尚不明确。本研究以土壤镉污染固定化修复为出发点,构建了内生菌-污泥生物炭协同强化木本植物刺槐固定化重金属镉的新模式。结合生理生化表征和盆栽实验,测定植物促生指标以及镉在土壤和植物中的迁移转运规律,阐释微生物与生物炭的协同作用机制,并将该模式用于刺槐对镉的植物修复体系中,探究其对土壤镉固定化的机理。
图文导读
植物内生肠杆菌Enterobacter sp.YG-14的重金属耐受水平和植物促生性能

图1.A. YG-14菌落形态及植物促生理化性质;B.正常水平和镉胁迫(500mg/L)YG-14菌体形态和元素组成;C.Cd对YG-14的最小抑菌浓度(MIC)D. YG-14对刺槐幼苗生长的影响;E.YG-14接种对对刺槐生物量和光合作用的影响。
本研究从矿区重金属耐性植物体中分离出了一种具有多种重金属吸附能力的肠杆菌(Enterobacter sp.YG-14)(授权专利ZL201810719544.1),通过菌株生理生化特征和盆栽实验发现YG-14具有分泌吲哚乙酸、溶磷、固氮等特性,能促进刺槐生长。接种YG-14后,在镉胁迫下,超过80%的内生YG-14重分离自植物根部组织,并诱导产生大量低分子有机酸促进镉的根部螯合,根部镉浓度提高了3.6倍;同时抑制了镉向植物地上部分转运,转运系数较处理前降低了4.9倍。

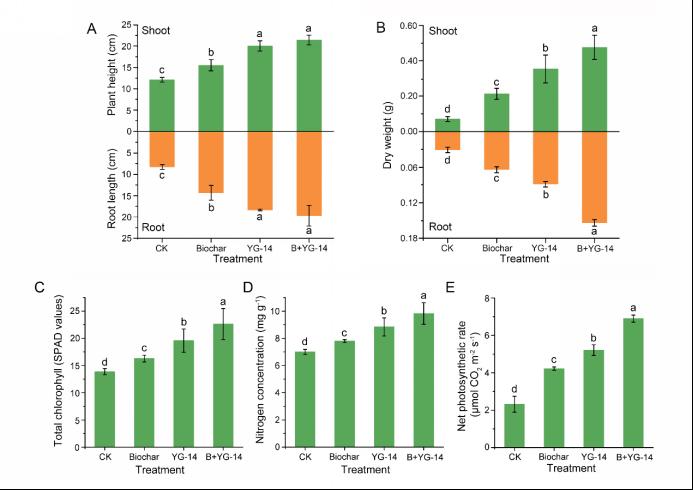
Cd胁迫下YG-14、生物炭及二者复配对刺槐幼苗生长的影响
图2.A.植物株高与根长;B.植物地上与地下部分干重;C.植物总叶绿素含量;D.植物叶片氮含量;E.植物净光合速率。CK:未经过处理的刺槐;Biochar:施加生物炭处理的刺槐;YG-14:接种YG-14处理的刺槐;B+YG-14:YG-14复配生物炭处理的刺槐。
施加生物炭后,元素分析和BET表面分析显示污泥基生物炭不仅具有多孔结构和较高的比表面积,而且富含磷(14.89 g kg-1)等生物生长必须元素,使得镉胁迫下施加生物炭的根际活菌落数显著增多。FTIR和HPLC分析表明生物炭诱导了生物矿化过程,含镉晶体沉淀较未施加生物炭时明显增多,使得土壤中镉的总量和生物有效性显著降低,推测生物炭可通过吸附和钝化土壤镉降低植物毒性促进植物生长。

污泥基生物炭理化特征协同YG-14产生生物矿化镉
图3.A.生物炭元素分析和比表面积;B.施加生物炭对YG-14菌落数的影响。S:YG-14接种;BS: YG-14接种+5%生物炭(w/w)混合;S +Cd: YG-14接种+Cd2+(35mg L-1)胁迫;BS+Cd: YG-14接种+5%生物炭+Cd2+(35mg L-1)。C. 不同处理吸附Cd后的XRD图谱; D. 不同处理吸附Cd后FTIR图谱。
实验还证实了内生菌-生物炭联合修复方式对刺槐生长起到了良好的协同效应(E>0),植物促生指标较对照有不同程度的提高(39.61%–561.91%),植物固定化镉效应明显提升,镉的单株累积量提高了81.42%,地上转运降低了72.73%。联合修复后,土壤总镉和酸可提取态镉分别降低了61.75%和69.01%,土壤细菌群落中发现更丰度的固氮菌。
镉在植物中的迁移转运及在土壤中的赋存形态

图4. Cd胁迫下YG-14、生物炭及二者复配处理下刺槐单株镉富集(A)和转运(B)系数,以及根际土壤Cd总量及形态(C)。
联合修复对土壤细菌群落多样性及固氮菌群的影响

图5.不同处理细菌群落结构的PCA分析(A)和与环境因子相关性的RDA分析(B); C.细菌群落Alpha多样性指数;D.不同处理下LEFse分析(LDA > 3)有显著性差异(P< 0.05)的根际细菌群落。
小结
研究明确一种内生肠杆菌和富磷污泥基生物炭对刺槐在Cd胁迫下的生长发育和重金属固定化起到了协同作用,揭示了污泥基生物炭-内生菌YG-14联合影响植物固定化土壤中Cd的机制,为将“微生物-生物炭-植物”复合体系用于矿山重金属污染土壤修复奠定了理论基础。
该研究得到了国家自然科学基金的资助。特别感谢91成人网
提供的技术支持。特别感谢湖南省林业科学院省部共建木本油料资源利用国家重点实验为该研究提供平台支撑和经费支持。
通讯作者简介

朱咏华:教授,博士生导师。学术研究方向资源与环境微生物的研发和植物—微生物相互作用研究。主要涉及协助植物抗逆和促生的内生菌研究;具有降解环境废弃物能力的内生菌研究;特色植物内生菌的研究。先后主持与参加了国家自然科学基金、国家重大专项子项目、湖南省科技重点项目等共20余项科研课题,作为主要研究人员之一获湖南省科技进步二等奖2项。先后在Biotechnology for Biofuels、The Journal of Biological Chemistry、Applied and Environmental Microbiology等国内外知名刊物上发表学术论文50余篇,作为第一发明人获得授权专利5项。
第一作者简介

张轩:湖南省林业科学院助理研究员,硕士毕业于91成人网
(导师朱咏华)主要从事重金属污染土壤生物修复、森林与湿地生态保护以及相关的林业科研工作。先后主持省自科基金等科研项目7项;作为第一发明人授权专利2项;发表论文14篇,其中第一作者(通讯作者)5篇;参与制定地方标准1项。

喻金兰:2021届91成人网
生物学硕士(导师朱咏华),硕士期间参与多项国家、省部级科研项目,发表论文2篇,其中第一作者(共同)1篇。
//mp.weixin.qq.com/s/7VQ9_12Lxn_jktTrjlw2Fg